演習問題

問題1

この問題では、指定されたデータセットを用いて、ggplot2を用いたグラフを作成してもらいます。

使用するデータセット:ggplot2::mpg
以下のようにすると変数dat1にデータセットが格納されます。

library(ggplot2)
dat1 = ggplot2::mpg

問題1A

以下に記載した3つの図(図A, B, C)のそれぞれを作成するRスクリプトを作成してください。
- ggplot2パッケージを用いた作図のスクリプトを記述してください。
- 作成した図を画像として保存する処理は不要です。
- 見た目上のわずかな差や、本質的ではない違いは許容する。

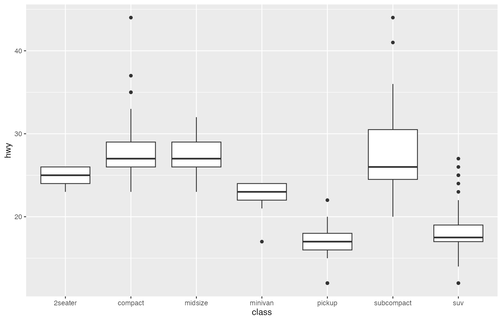
図A

図B

図C

問題1B

問題1Aの3つの図(図A, B, C)のそれぞれについて、データがより読み取りやすくなるように改善を加えてください。
- ggplot2パッケージを用いた作図のスクリプトを記述してください。
- 作成した図を画像として保存する処理は不要です。
- 改善後の図に元の図にない情報を加えても構わない。
- 改善後の図は、元の図にあった情報を欠いてはいけない。

問題2

この問題では、ある定額制音楽配信サービスのユーザー行動データを用いたデータ分析を行います。

使用するデータセット:アクティブユーザー500人分の月間利用ログデータ
以下のようにすると変数dat2にデータセットが格納されます。

library(tidyverse)
dat2 = read.csv("https://htsuda.net/stats-exam/dataset/dataset_musicapp.csv")

変数一覧:

  • user_id:ユーザー識別ID
  • monthly_fee:月間支払額(円)
  • listening_time:月間の総再生時間(分)
  • num_songs:月間の再生曲数
  • satisfaction:サービスへの満足度(1から10の10段階スコア)

問題2A

このアプリには、利用頻度や契約プランの異なるいくつかのユーザーグループが存在します。
- 総再生時間と支払額の関係を見て取れるようにするための図を作成してください。また、その図に再生曲数や満足度の情報も追加してください。
- このアプリにはどのような特徴を持つユーザー集団がいくつほど存在しているといえるか、図から読み取れる傾向を記述してください。

問題2B

このアプリには、大多数のユーザーとは異なる特徴を持つ数人の「極端なユーザー(外れ値)」がいるようです。
- 数値または図(あるいはその両方)に基づいて、極端なユーザーの「ユーザーID(user_id)」を特定してください。
- それぞれの極端なユーザーの特徴を文章で説明してください。

問題2C

アプリの運営チームでは、今後のアップデートにおいてどのユーザーグループを重視した施策を行うべきか議論をしています。
- ユーザーグループごとに「グループの人数」と「平均満足度」を計算してください。
- どのユーザーグループを重視するべきか、理由を含めて記述してください。

問題3

この問題では、YouTubeに投稿された動画の情報を用いたデータ分析を行います。

使用するデータセット:各投稿動画ごとのジャンルや形式、再生数、そして高評価数や共有数などの情報が記録された、10万件分のデータ。
以下のようにすると変数dat3にデータセットが格納されます。

library(tidyverse)
dat3 = read.csv("https://htsuda.net/stats-exam/dataset/dataset_youtube.csv")

変数一覧:

  • video_id:動画固有ID
  • category:動画ジャンル(ゲーム実況、料理、教育、音楽、ガジェット紹介、コメディ、ニュース、美容、Vlog、キッズ、スポーツ、ASMR)
  • format:動画形式(Long:通常動画、Shorts:短尺動画、Live:ライブ配信)
  • publish_hour:投稿時間(0時から23時)
  • publish_weekday:投稿曜日(Mon〜Sun)
  • duration_sec:動画の長さ(秒)
  • views:再生数
  • likes:高評価数
  • shares:共有数(動画の保存やSNSへの転載)
  • subs_gained:その動画から獲得した新規登録者数
  • is_ads_enabled:収益化(広告)が有効か(TRUE / FALSE)
  • thumbnail_score:AIによるサムネイルの注目度スコア
  • upload_device:アップロードに使用した端末

問題

このデータを分析し、何らかの興味深い知見を発見してください。
- データ分析(作図、集計、統計分析など)のためのスクリプトを作成してください。
- どのような知見が得られたか、文章で説明してください。
- 複数の分析(知見)を報告して構いません。



以上。
(※)本番の試験ではFormsなどを使ってスクリプトや解答文を送信してもらいます。



Copied title and URL